• Предмет: Алгебра
  • Автор: Serafim88888
  • Вопрос задан 9 лет назад

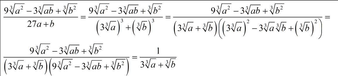
Сократите дробь
Отвечайте подробно!

Приложения:

Ответы

Ответ дал: Аноним
0
.................................................................................
Приложения:
Вас заинтересует