• Предмет: Алгебра
  • Автор: RenaMitashi
  • Вопрос задан 9 лет назад

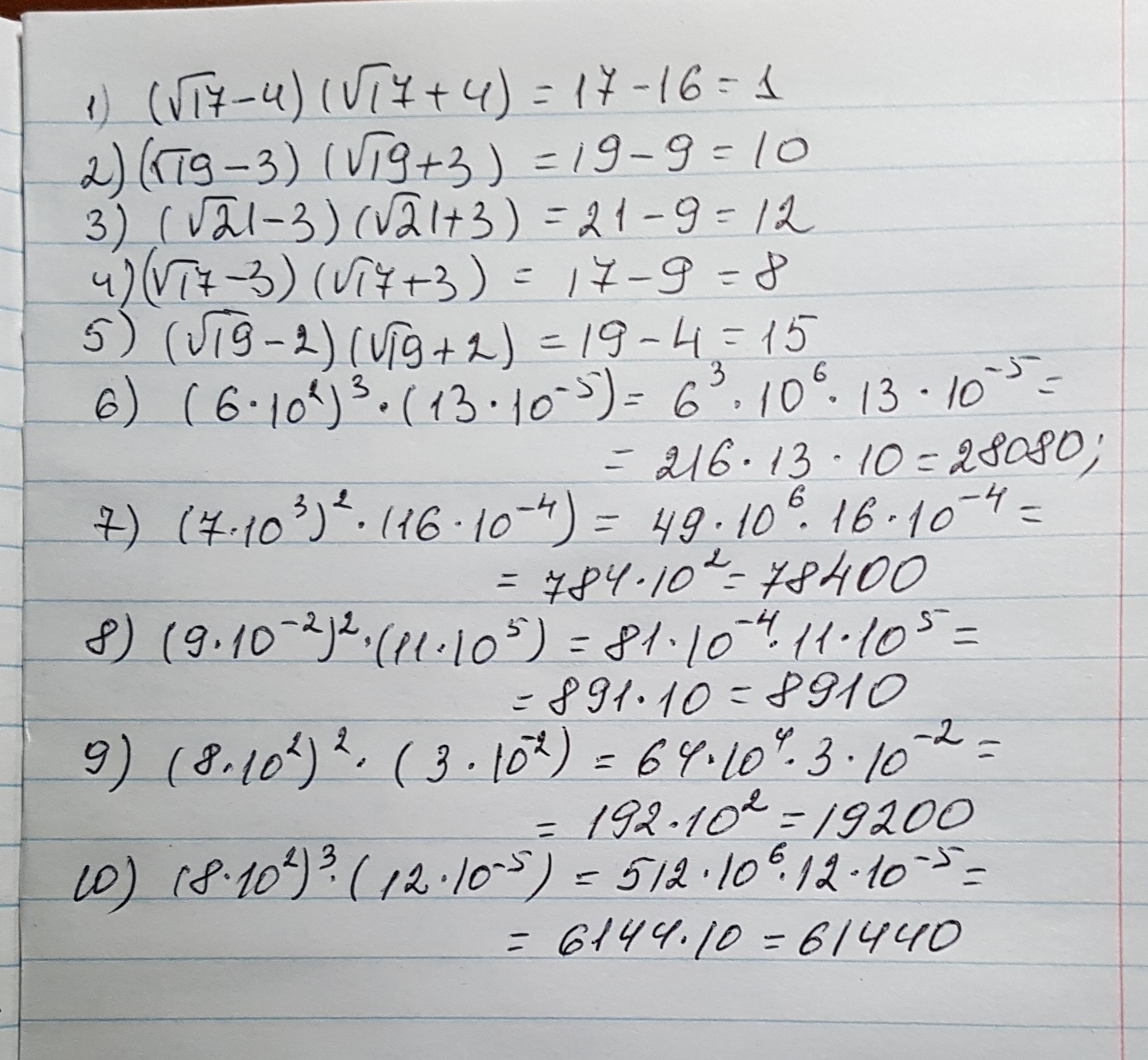
помогите пожалуйста,срочно,с решением

Приложения:

Ответы

Ответ дал: подкожного
0
решение задания смотри на фотографии
Приложения:
Ответ дал: подкожного
0
пожалуйста
Вас заинтересует