Найти первообразную функции, график которой проходит через начало координат
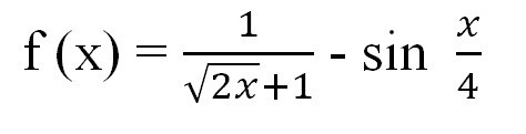
(функция на скрине)
заранее спасибо
Приложения:
Ответы
Ответ дал:
0
первообразная: 1/2*ln(√2x+1)+4*cos(x/4)+c
найдем с: 0=4+с с=-4
получаем F(x)=1/2*ln(√2x+1)+4*cos(x/4)-4
найдем с: 0=4+с с=-4
получаем F(x)=1/2*ln(√2x+1)+4*cos(x/4)-4
Ответ дал:
0
извините, а что такое "In"? а то я совсем слабо шарю
Ответ дал:
0
логарифм по натуральному основанию. натуральное число е=2,7 обозначается ln
Ответ дал:
0
есть ещё десятичной логарифм обозначается lg
Ответ дал:
0
а обычный логарифм log
Ответ дал:
0
все, понял. спасибо вам большое)
Вас заинтересует
2 года назад
3 года назад
3 года назад
9 лет назад
10 лет назад