Ответы
Ответ дал:
0
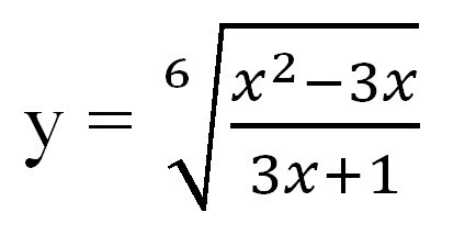
область определения - множество всех допустимых значений x.
В данном случае корень четной степени, поэтому:

находим нули числителя и знаменателя:

используем метод интервалов(см. приложение)
![x in (- frac{1}{3} ;0] cup [3;+infty) x in (- frac{1}{3} ;0] cup [3;+infty)](https://tex.z-dn.net/?f=x+in+%28-+frac%7B1%7D%7B3%7D+%3B0%5D+cup+%5B3%3B%2Binfty%29)
Ответ:![D(y)=x in (- frac{1}{3} ;0] cup [3;+infty) D(y)=x in (- frac{1}{3} ;0] cup [3;+infty)](https://tex.z-dn.net/?f=D%28y%29%3Dx+in+%28-+frac%7B1%7D%7B3%7D+%3B0%5D+cup+%5B3%3B%2Binfty%29)
В данном случае корень четной степени, поэтому:
находим нули числителя и знаменателя:
используем метод интервалов(см. приложение)
Ответ:
Приложения:
Ответ дал:
0
1) Знаменатель не должен равняться 0
3x + 1 =/= 0
x =/= -1/3
2) Под корнем четной степени число должно быть неотрицательным


По методу интервалов
x ∈ (-1/3; 0] U [3; +oo)
3x + 1 =/= 0
x =/= -1/3
2) Под корнем четной степени число должно быть неотрицательным
По методу интервалов
x ∈ (-1/3; 0] U [3; +oo)
Приложения:
Вас заинтересует
3 года назад
9 лет назад
10 лет назад