• Предмет: Математика
  • Автор: Ksenksen
  • Вопрос задан 9 лет назад

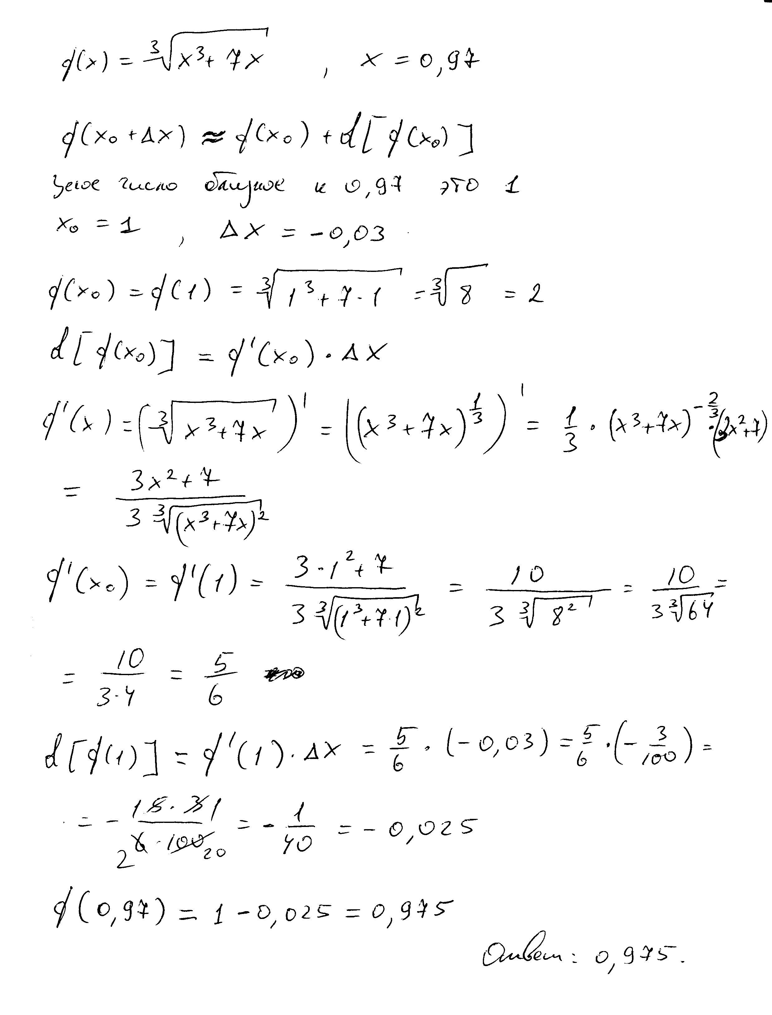
Вычислить значение с помощью дифференциала!Помогите!!!!!

Приложения:

Ответы

Ответ дал: ThaiGuide
0
Скан решения данного задания
Приложения:
Вас заинтересует