• Предмет: Алгебра
  • Автор: rogoffars
  • Вопрос задан 9 лет назад

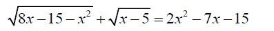
Нужен "красивый" способ решения...20б

Приложения:

Ответа на этот вопрос пока нет. Попробуйте найти его через форму поиска.

Вас заинтересует