• Предмет: Математика
  • Автор: Юляmol
  • Вопрос задан 9 лет назад

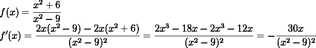
Найти производную функции х2+6/х2-9

Ответы

Ответ дал: Trover
0
f(x)=frac{x^2+6}{x^2-9}\f'(x)=frac{2x(x^2-9)-2x(x^2+6)}{(x^2-9)^2}=frac{2x^3-18x-2x^3-12x}{(x^2-9)^2}=-frac{30x}{(x^2-9)^2}
Приложения:
Вас заинтересует