• Предмет: Математика
  • Автор: focuus
  • Вопрос задан 9 лет назад

Помогите решить примеры по теме : Действия с дробями, целыми степенями и дробно-рациональными выражениями"

Приложения:

Ответы

Ответ дал: Trover
0
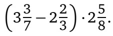
frac{24^2-(0,24)^2}{24,24}=frac{(24-0,24)(24+0,24)}{24,24}=frac{23,76cdot24,24}{24,24}=23,76\\\15,34cdot68-15,34cdot168=15,34cdot(68-168)=15,34cdot(-100)=-1534\\\6frac67:frac67=frac{48}7cdotfrac76=8\\\left(3frac37-2frac23right)cdot2frac58=left(frac{24}7-frac83right)cdotfrac{21}8=left(frac{72}{21}-frac{56}{21}right)cdotfrac{21}8=left(-frac{16}{21}right)cdotfrac{21}8=-2


4^{-13}:56^{-15}cdot14^{-14}=frac1{4^{13}}cdot56^{15}cdotfrac1{14^{14}}=frac{56^{15}}{4^{13}cdot14^{14}}=frac{56^{15}}{(4cdot14)^{13}cdot14}=\=frac{56^{15}}{56^{13}cdot14}=frac{56^2}{14}=frac{56cdot56}{14}=56cdot4=224
Приложения:
Вас заинтересует