• Предмет: Алгебра
  • Автор: Аноним
  • Вопрос задан 9 лет назад

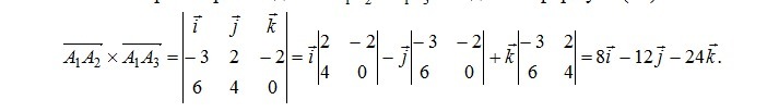
как посчитать чтобы получилось 8i -12j-24K

Приложения:

Ответы

Ответ дал: sedinalana
0
i*(2*0-(-2)*4)-j(-3*(0-(-2)*6)+k*(-3*4-2*6)=i(0+8)-j(0+12)+k(-12-12)=8i-12j-24k
Ответ дал: Аноним
0
можно более подробнее
Ответ дал: Аноним
0
не понятно
Вас заинтересует