Составть пожалуйста 2 программы для Паскаля,очень прошу, завтра информатика и я ничего не знаю!!!
Приложения:
Ответы
Ответ дал:
0
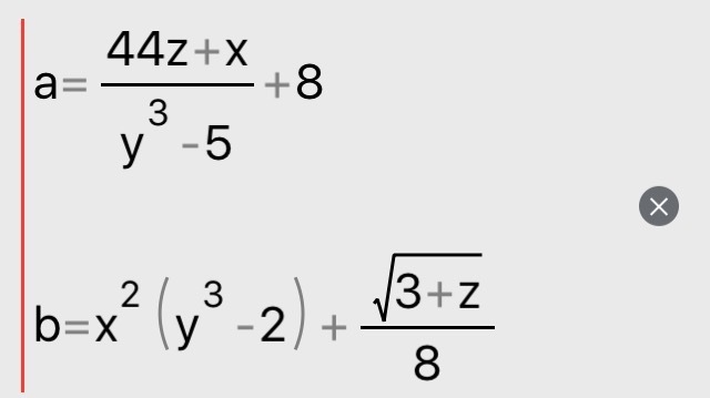
var a,z,x,y:real;beginwrite('Введите значение z: ');readln(z);write('Введите значение x: ');readln(x);write('Введите значение y: ');readln(y);a:=(44*z+x)/(y*y*y)-5;writeln('a = ',a);end.
Ответ дал:
0
Спасибо тебе огромное)
Ответ дал:
0
var b,z,x,y:real;
begin
write('Введите значение x: ');
readln(x);
write('Введите значение y: ');
readln(y);
write('Введите значение z: ');
readln(z);
b:=sqr(x)*((y*y*y)-2)+sqrt(3+z)/8;
writeln('b = ',b);
end.
begin
write('Введите значение x: ');
readln(x);
write('Введите значение y: ');
readln(y);
write('Введите значение z: ');
readln(z);
b:=sqr(x)*((y*y*y)-2)+sqrt(3+z)/8;
writeln('b = ',b);
end.
Ответ дал:
0
Для второго
Ответ дал:
0
Спасибо еще раз)
Ответ дал:
0
Не за что
Вас заинтересует
2 года назад
2 года назад
3 года назад
3 года назад
9 лет назад
9 лет назад
10 лет назад
10 лет назад