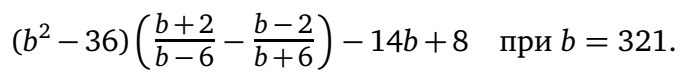
Помогите решить примеры по теме : Действия с дробями, целыми степенями и дробно-рациональными выражениями"
Приложения:





Ответы
Ответ дал:
0
см. решение в приложении
Приложения:

Вас заинтересует
2 года назад
2 года назад
3 года назад
3 года назад
9 лет назад