ОЧЕНЬ СРОЧНО
Найдите сумму, одним из слагаемых которой является корень уравнения (фото), а другим- наименьшее целое двузначное число.
Приложения:
Ответы
Ответ дал:
0
ОДЗ
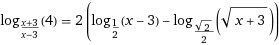
{(x+3)/(x-3)>0⇒x<-3 U x>3
{x-3>0⇒x>3
{x+3>0⇒x>-3
x∈(3;∞)
перейдем к основанию 2
log(2)4/log(2)[(x+3)/(x-3)]=2(log(2)(x-3)/log(2)(1/2)-log(2)√(x+3)/log(2)(1/√2))
2/log(2)[(x+3)/(x-3)]=2(-log(2)(x-3)-1/2log(2)(x+3)/(-1/2))
2/log(2)[(x+3)/(x-3)]=2(log(2)[(x+3)/(x-3)]
log(2)[(x+3)/(x-3)]=t
2/t=2t
2t²=2
t²=1
t1=-1 U t2=1
log(2)[(x+3)/(x-3)]=-1
(x+3)/(x-3)=1/2⇒2x+6=x-3⇒x=-9∉ОДЗ
log(2)[(x+3)/(x-3)]=1
(x+3)/(x-3)=2⇒x+3=2x-6⇒x=9
Ответ х=9
{(x+3)/(x-3)>0⇒x<-3 U x>3
{x-3>0⇒x>3
{x+3>0⇒x>-3
x∈(3;∞)
перейдем к основанию 2
log(2)4/log(2)[(x+3)/(x-3)]=2(log(2)(x-3)/log(2)(1/2)-log(2)√(x+3)/log(2)(1/√2))
2/log(2)[(x+3)/(x-3)]=2(-log(2)(x-3)-1/2log(2)(x+3)/(-1/2))
2/log(2)[(x+3)/(x-3)]=2(log(2)[(x+3)/(x-3)]
log(2)[(x+3)/(x-3)]=t
2/t=2t
2t²=2
t²=1
t1=-1 U t2=1
log(2)[(x+3)/(x-3)]=-1
(x+3)/(x-3)=1/2⇒2x+6=x-3⇒x=-9∉ОДЗ
log(2)[(x+3)/(x-3)]=1
(x+3)/(x-3)=2⇒x+3=2x-6⇒x=9
Ответ х=9
Вас заинтересует
2 года назад
3 года назад
3 года назад
9 лет назад
10 лет назад
10 лет назад