• Предмет: Информатика
  • Автор: ударницаклео
  • Вопрос задан 9 лет назад

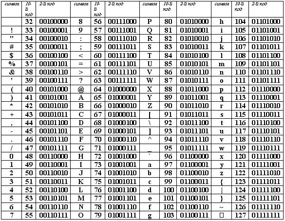
1. Какой объём памяти займёт приведённый ниже текст, если известно, что в нём используется кодировочная таблица ASCII?

Happy New Year, dear friends!!













2. C помощью кодировочной таблицы ASCII раскодируйте заданный текст:

98 121 99 107 32 105 115 32 109 121 32 100 111 103 46















3. C помощью кодировочной таблицы ASCII закодируйте заданный текст:

I was born in 1975.












4. Сколько символов содержится в тексте, использующем таблицу ASCII, если известно, что он занимает 24 576 бит памяти?






Приложения:

Ответа на этот вопрос пока нет. Попробуйте найти его через форму поиска.

Вас заинтересует