Ответы
Ответ дал:
0
С начало 2потом 1
..............
..............
Приложения:


Ответ дал:
0
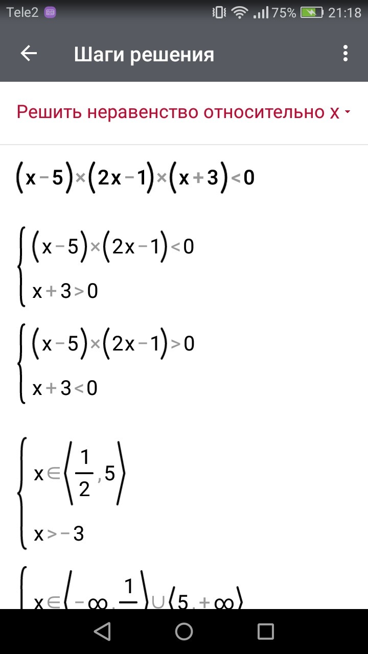
х-5<0 x<5
2x-1<0 x<1/2
x+3<0 x<-3
2x-1<0 x<1/2
x+3<0 x<-3
Приложения:


Вас заинтересует
2 года назад
2 года назад
3 года назад
3 года назад
9 лет назад
9 лет назад
10 лет назад
10 лет назад