• Предмет: Алгебра
  • Автор: agresseur
  • Вопрос задан 9 лет назад

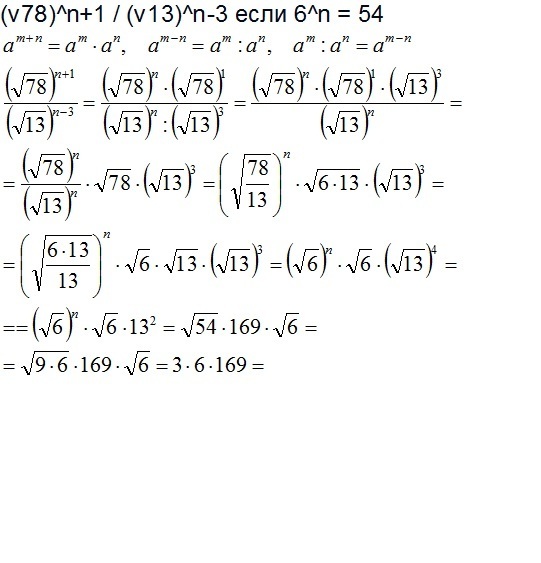
Решить ( если не получится - упростить) выражение

(√78)^n+1 / (√13)^n-3 если 6^n = 54

Ответы

Ответ дал: kirichekov
0
решение во вложении-------------------------------
Приложения:
Вас заинтересует