Ответы
Ответ дал:
0
фоточка тебе в помощь ;)
Приложения:

Вас заинтересует
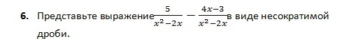
2 года назад
2 года назад
3 года назад
9 лет назад
9 лет назад
10 лет назад