• Предмет: Алгебра
  • Автор: Sonkadg56ghh22
  • Вопрос задан 9 лет назад

Помогите пожалуйста! Нужно только 1 задание , буду очень благодарна , даю 20 баллов))

Приложения:

Ответы

Ответ дал: nanilio
0
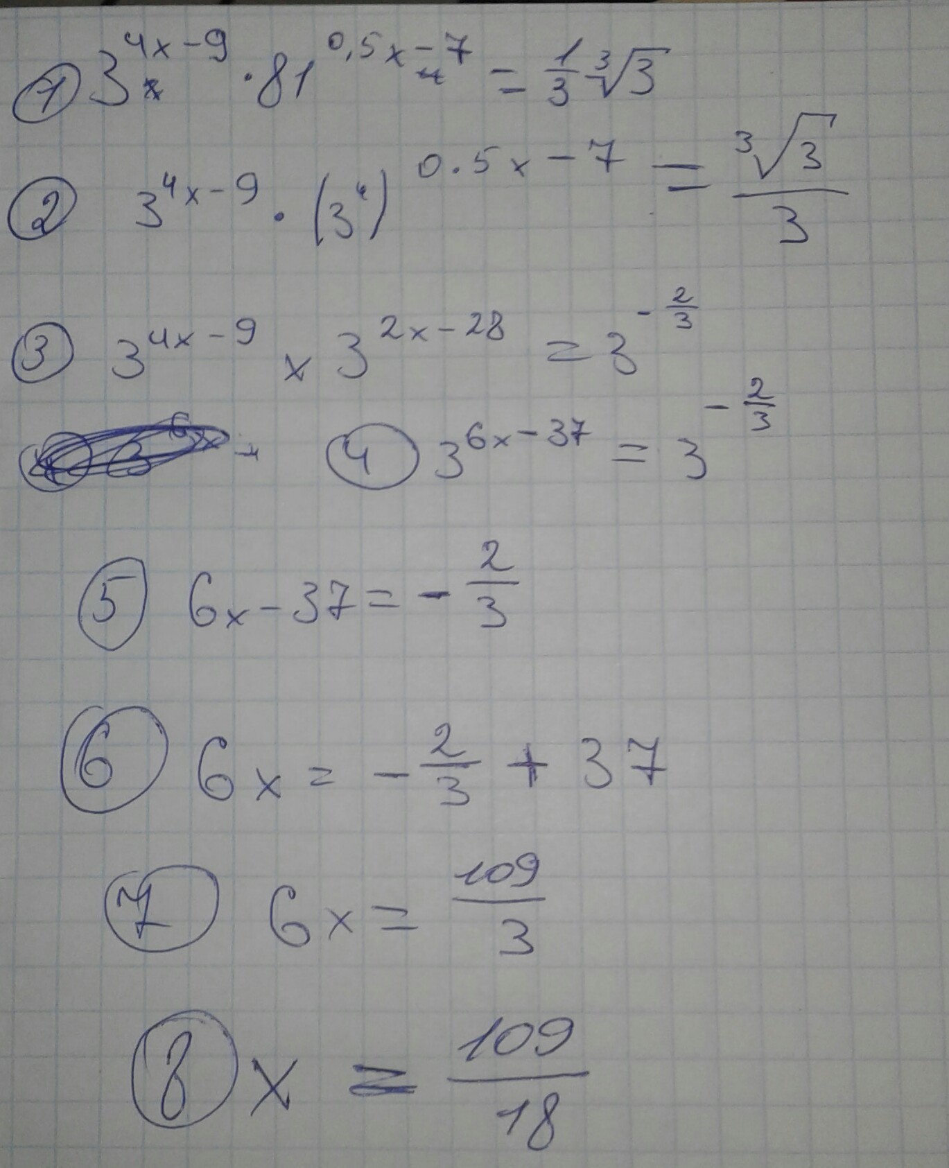
держи надеюсь поможет и отправила я вовремя)))
Приложения:
Вас заинтересует