• Предмет: Алгебра
  • Автор: bigmir96
  • Вопрос задан 9 лет назад

ребята помогите, нужно полное развёрнутое решение, очень нужно

Приложения:

Ответы

Ответ дал: Trover
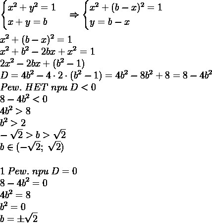
0
begin{cases}x^2+y^2=1\x+y=bend{cases}Rightarrowbegin{cases}x^2+(b-x)^2=1\y=b-xend{cases}\\x^2+(b-x)^2=1\x^2+b^2-2bx+x^2=1\2x^2-2bx+(b^2-1)\D=4b^2-4cdot2cdot(b^2-1)=4b^2-8b^2+8=8-4b^2\Pew.;HET;npu;D textless  0\8-4b^2 textless  0\4b^2 textgreater  8\b^2 textgreater  2\-sqrt2 textgreater  b textgreater  sqrt2\bin(-sqrt2;;sqrt2)\\1;Pew.;npu;D=0\8-4b^2=0\4b^2=8\b^2=0\b=pmsqrt2
Приложения:
Вас заинтересует