Ответы
Ответ дал:
0
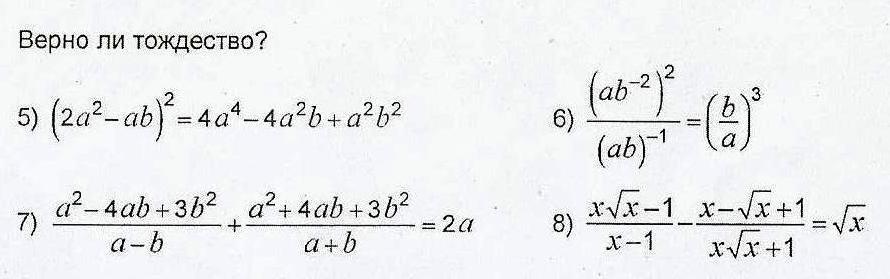
в пятом не верно, должно получится : 4а^2-4а^3b+a^2b^2
в шестом не верно, должно получится: а^3/b^3
в седьмом и восьмом верно
в шестом не верно, должно получится: а^3/b^3
в седьмом и восьмом верно
Вас заинтересует
2 года назад
2 года назад
3 года назад
9 лет назад
9 лет назад
10 лет назад
10 лет назад