• Предмет: Алгебра
  • Автор: zarubaveronik
  • Вопрос задан 9 лет назад

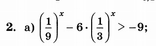
Решите, пожалуйста, показательное неравенство.

Приложения:

Ответы

Ответ дал: berding
0
Степень, знать формулы хорошо бы
Приложения:
Вас заинтересует