• Предмет: Математика
  • Автор: isackowvalery
  • Вопрос задан 9 лет назад

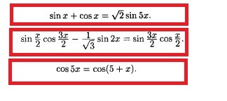
Упрощение тригонометрических выражений. Решите пожалуйста.

Приложения:

Ответа на этот вопрос пока нет. Попробуйте найти его через форму поиска.

Вас заинтересует