• Предмет: Математика
  • Автор: алишd
  • Вопрос задан 9 лет назад

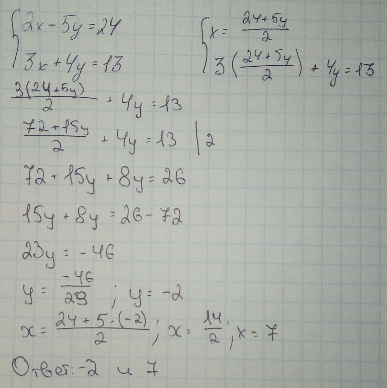
{2х-5у=24
{3х+4у=13
решите пожалуйста

Ответы

Ответ дал: HIPM
0
[Решение в приложении]
Приложения:
Ответ дал: алишd
0
ой,прости
Ответ дал: алишd
0
я рассчитал тот случай когда у=2
Ответ дал: HIPM
0
))
Ответ дал: алишd
0
я делал по тесту
Ответ дал: алишd
0
там такого ответане было
Вас заинтересует