• Предмет: Алгебра
  • Автор: Ксюхахаха
  • Вопрос задан 9 лет назад

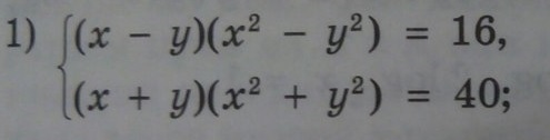
Помогите, пожалуйста, решить систему!!!!

Приложения:

Ответы

Ответ дал: ВладимирБ
0
Решение смотри на фото
Приложения:
Вас заинтересует