• Предмет: Алгебра
  • Автор: Avatarnik
  • Вопрос задан 9 лет назад

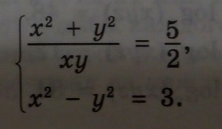
Помогите, пожалуйста, решить

Приложения:

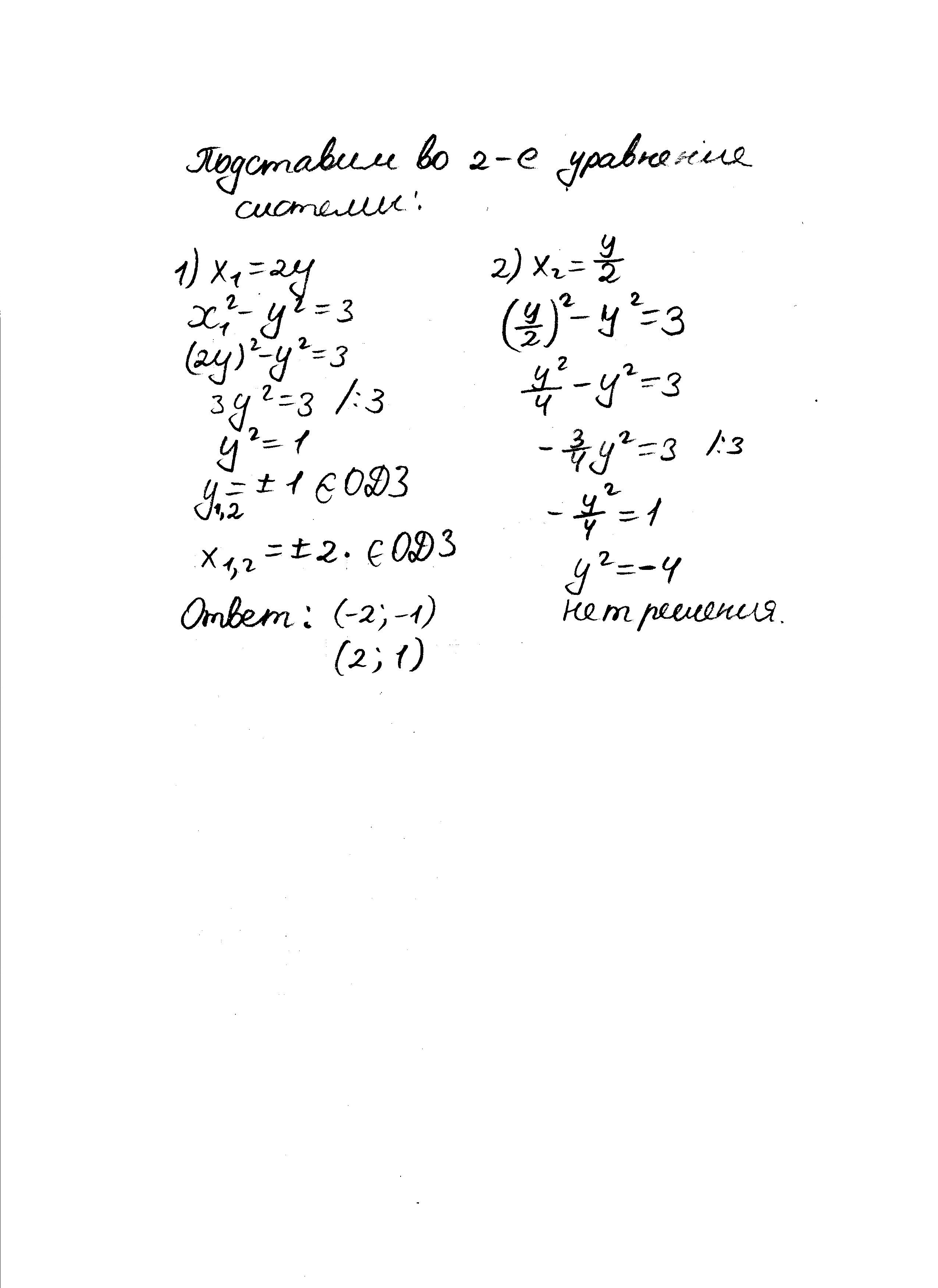
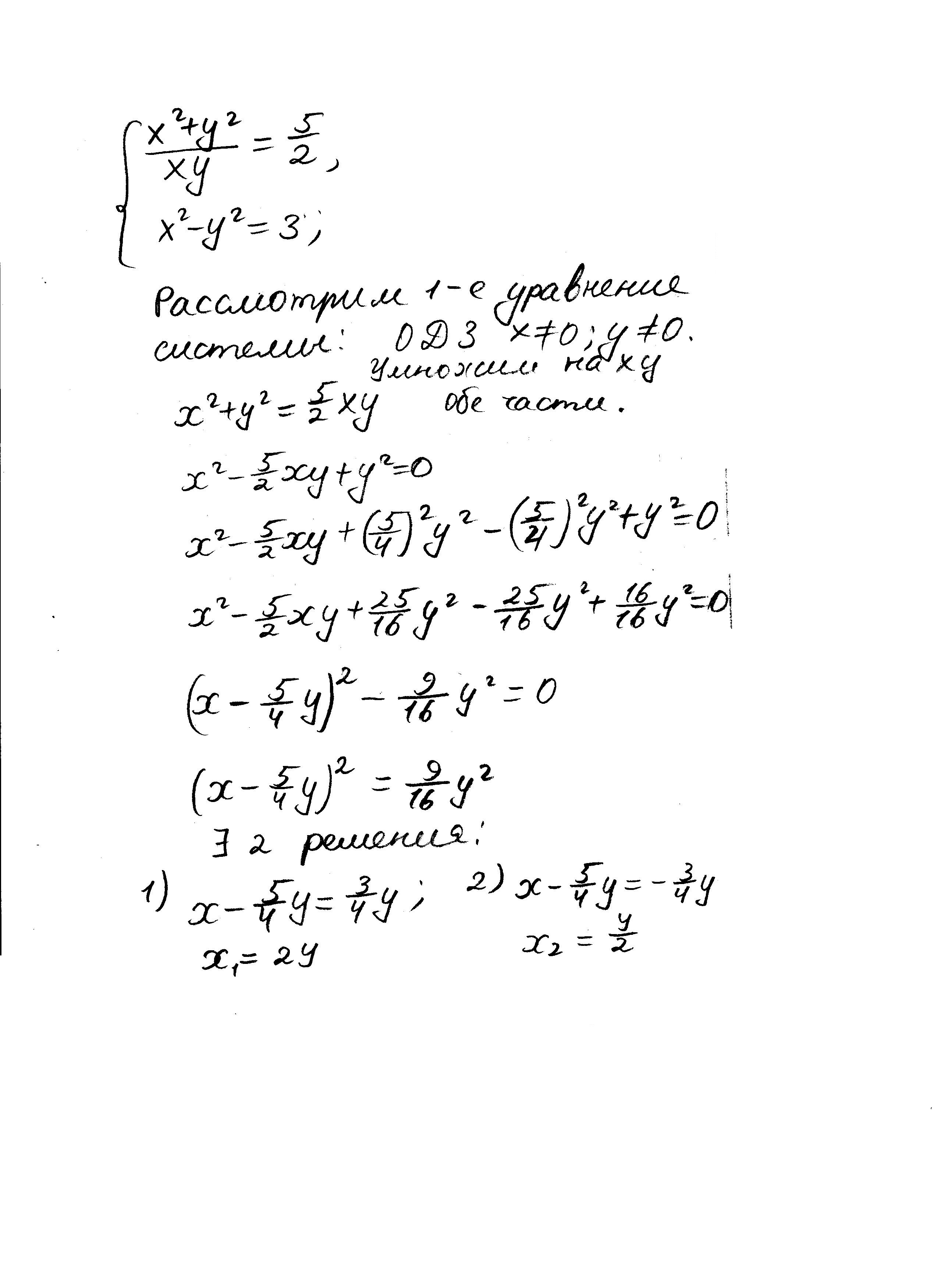
Ответы

Ответ дал: bearcab
0
Решение в приложении.

Ответ: х₁=-2, у₁=-1;
            х₂=2,   у₂=1.
Приложения:
Ответ дал: Avatarnik
0
Спасибо большое за помощь! Есть вопрос! после того как ми написали x^2-5/2xy+y^2=0 в следующей строчке что сделали? по какой-то формуле преобразовали?
Ответ дал: Avatarnik
0
а! все понял, чтобы в формулу свернуть) Спасибо !!!
Вас заинтересует