Ответы
Ответ дал:
0
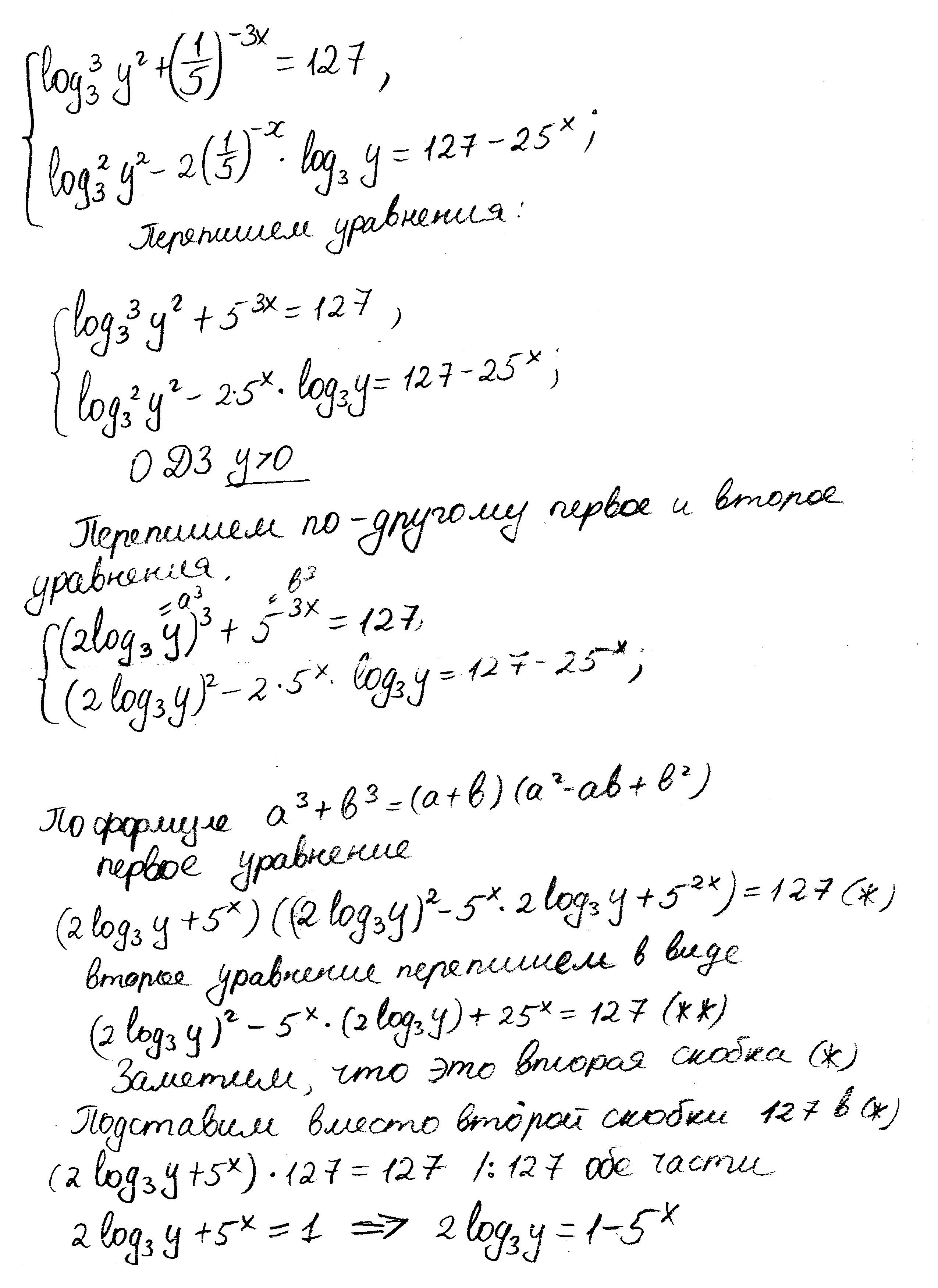
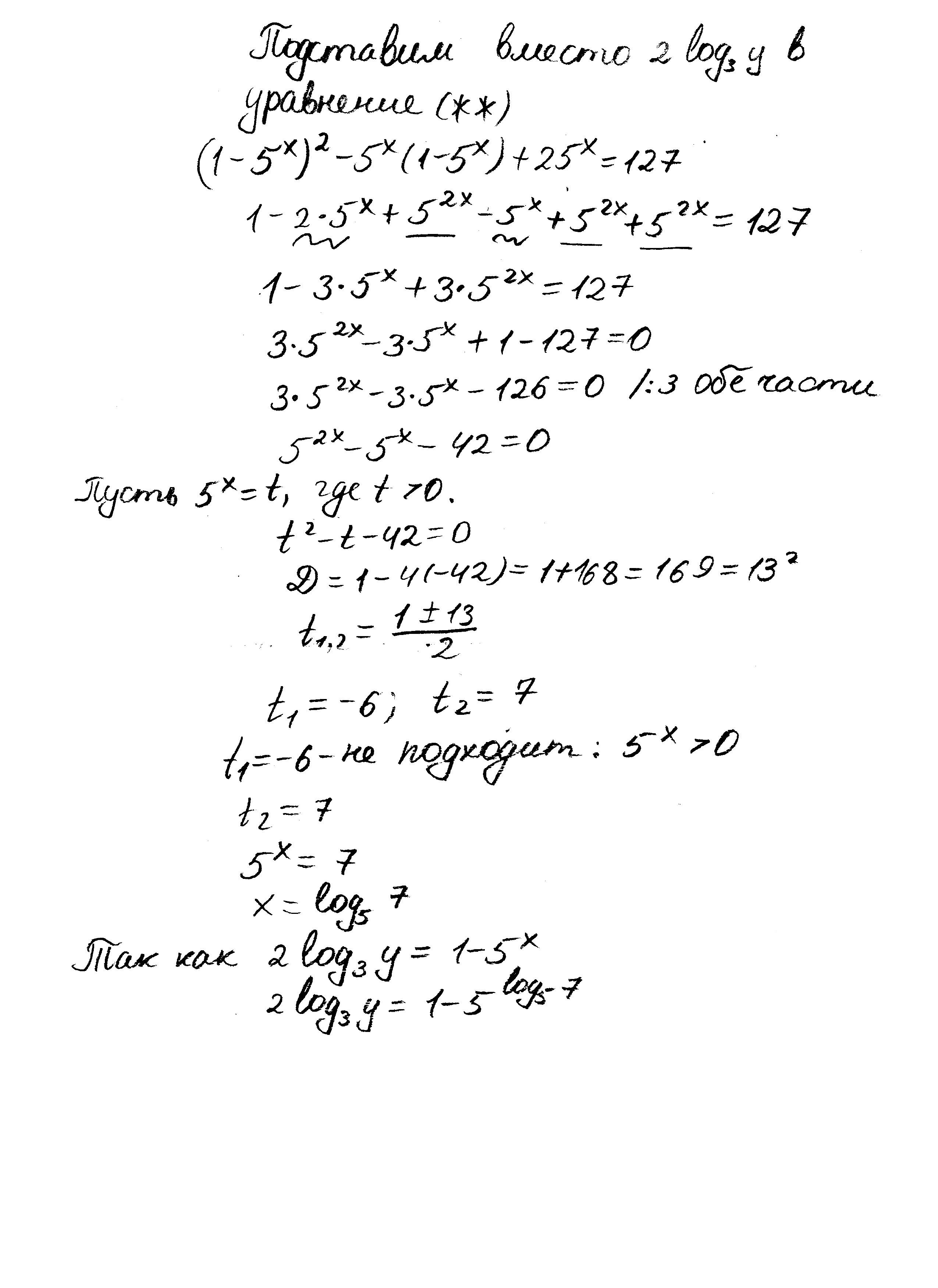
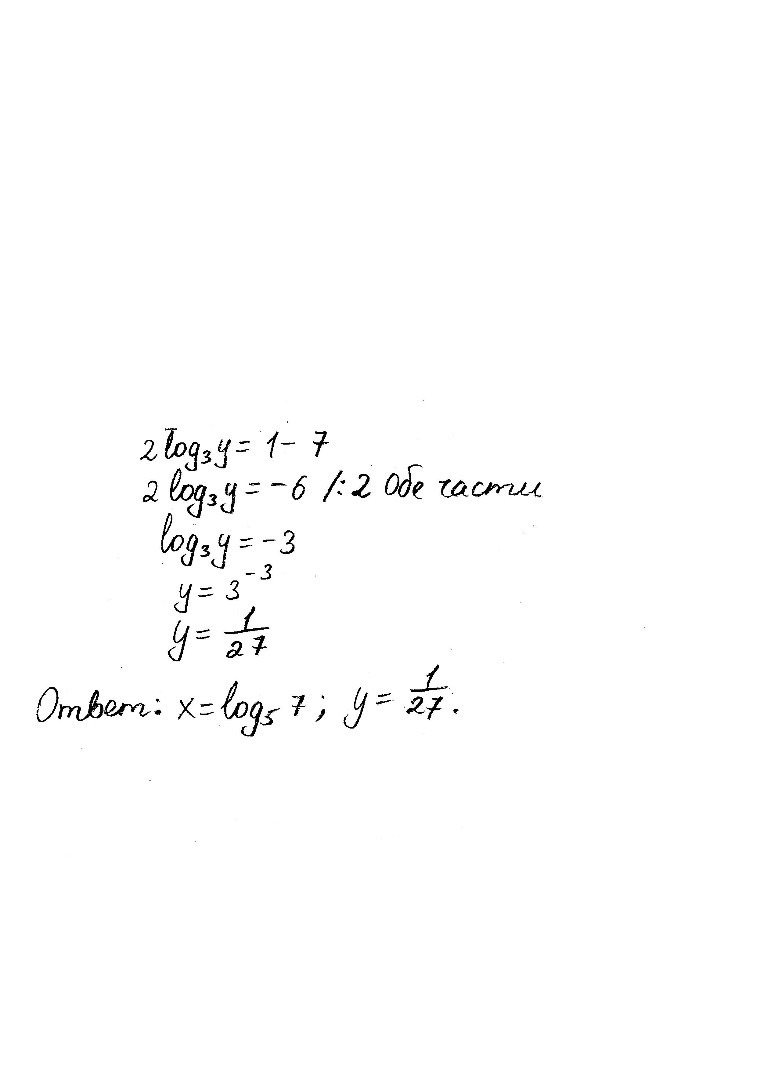
Решение в приложении. Должно быть понятно.
Приложения:



Вас заинтересует
2 года назад
2 года назад
3 года назад
9 лет назад
9 лет назад