• Предмет: Алгебра
  • Автор: ludmilushkamur
  • Вопрос задан 9 лет назад

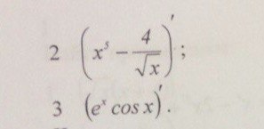
Найдите производную ,пожалуйста !

Приложения:

Ответы

Ответ дал: bearcab
0
Решение в приложении.
Приложения:
Вас заинтересует