Ответы
Ответ дал:
0
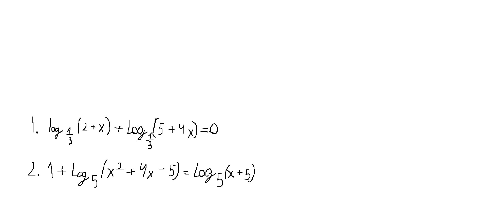
Решение смотри на фото
Приложения:


Ответ дал:
0
Мы разве в x1 и x2 под дробью двойку не умножаем на 4?
Ответ дал:
0
Согласен, поправить надо, делим на 8
Ответ дал:
0
Исправил))
Ответ дал:
0
Спасибо.
Вас заинтересует
2 года назад
3 года назад
3 года назад
9 лет назад
9 лет назад
10 лет назад
10 лет назад