• Предмет: Алгебра
  • Автор: абагд
  • Вопрос задан 9 лет назад

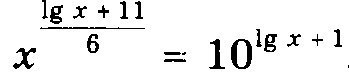
Ребятушки,помогите,срочно надо

Приложения:

Ответы

Ответ дал: irlina
0
Вперед с песнями и плясками
Приложения:
Вас заинтересует