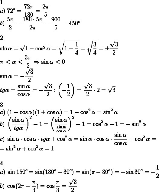
1. а) Выразите в радианной мере величину угла в 72 градуса
б) Выразите в радианной мере величины угла 
2. найдите Sin a ; tg a, если Cos a = -
и
< a < 
3. Упростите выражение
a) ( 1 - cos a ) (1+ cos a )
б) (
)² - 1
в) sin a * cos a * tg a + cos² a
4.Вычислите
а) sin 150 градусов
б) Cos(2
-
)
Ответы
Ответ дал:
0
Приложения:

Ответ дал:
0
Спасиб
Вас заинтересует
2 года назад
2 года назад
3 года назад
3 года назад
9 лет назад
10 лет назад
10 лет назад