• Предмет: Математика
  • Автор: Maru1111111
  • Вопрос задан 9 лет назад

решите уровне не пожалуйста

Приложения:

Ответы

Ответ дал: Trover
0
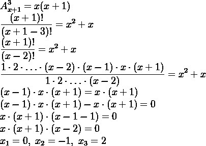
A_{x+1}^3=x(x+1)\frac{(x+1)!}{(x+1-3)!}=x^2+x\frac{(x+1)!}{(x-2)!}=x^2+x\frac{1cdot2cdotldotscdot(x-2)cdot(x-1)cdot xcdot(x+1)}{1cdot2cdotldotscdot(x-2)}=x^2+x\(x-1)cdot xcdot(x+1)=xcdot(x+1)\(x-1)cdot xcdot(x+1)-xcdot(x+1)=0\xcdot(x+1)cdot(x-1-1)=0\xcdot(x+1)cdot(x-2)=0\x_1=0,;x_2=-1,;x_3=2
Приложения:
Ответ дал: Maru1111111
0
решено не верно, сразу внимание не обратила во второй части 5х,а не просто х
Вас заинтересует