• Предмет: Математика
  • Автор: Bubble29
  • Вопрос задан 9 лет назад

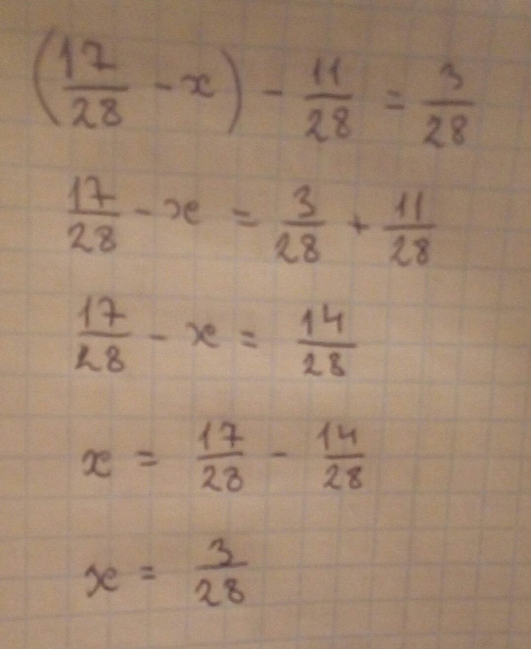
Решите уравнения :( 17/28 - x ) - 11/28 = 3/28

Ответы

Ответ дал: ЯгодкаЯлесная
0
фоточка тебе в помощь ;)
Приложения:
Ответ дал: Bubble29
0
Спасибо, тебе тоже такое задали?
Ответ дал: ЯгодкаЯлесная
0
нет. тебе просто помогла)
Ответ дал: Bubble29
0
Понятно, спасибо!;)
Вас заинтересует