Найди, не выполняя построения, координаты точки пересечения графиков линейных функций:а) y=7x-1 и y=2x б)y=3x-11 и y=4
Ответы
Ответ дал:
0
)))))))))))))))))))))))))
Приложения:
Ответ дал:
0
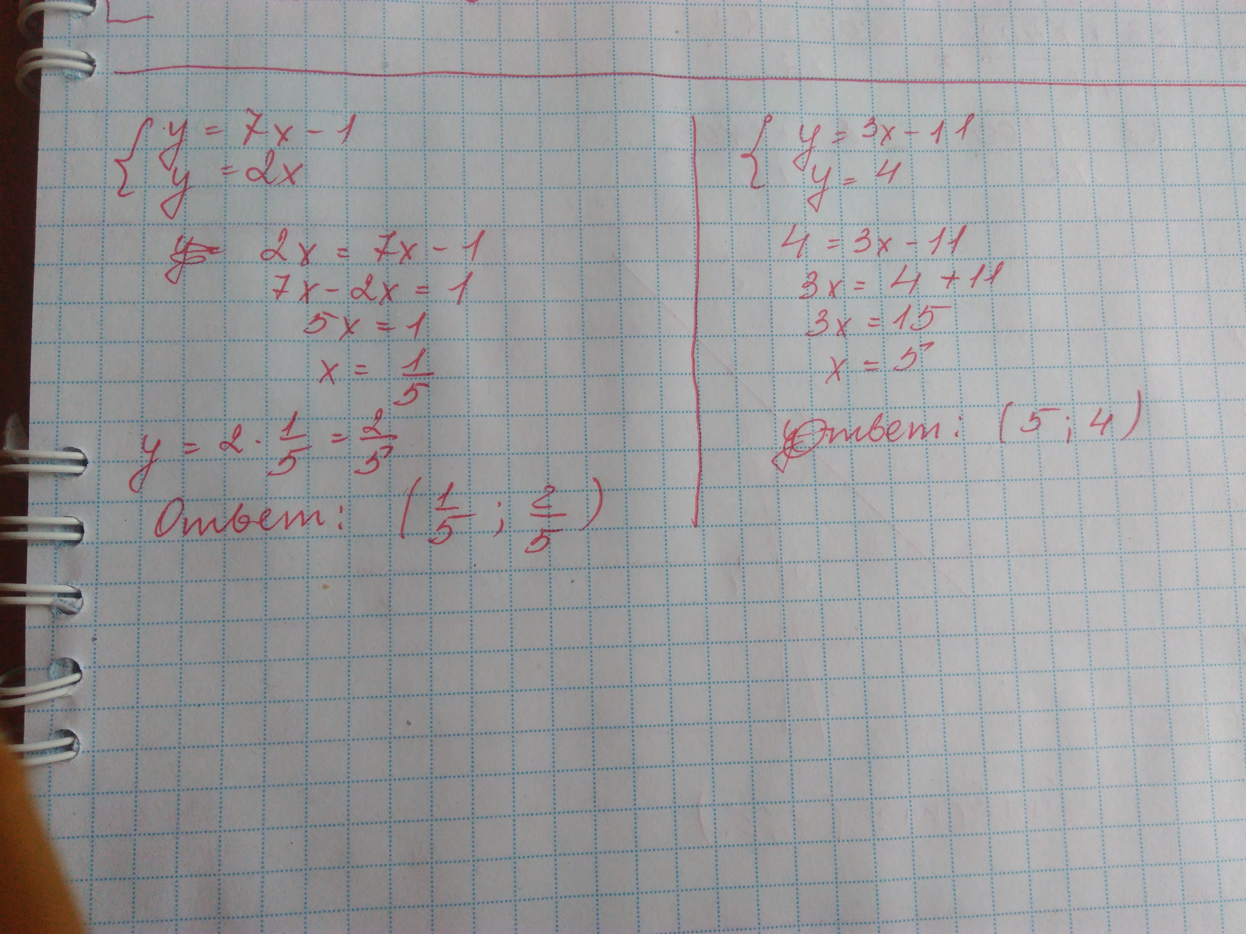
y=7x-1 y=2x
7x-1=2x
5x=1
x=1/5
y=2/5
(1/5;2/5)
б) y=3x-11;y=4
3х-11=4
3х=15
х=5
(5;4)
7x-1=2x
5x=1
x=1/5
y=2/5
(1/5;2/5)
б) y=3x-11;y=4
3х-11=4
3х=15
х=5
(5;4)
Приложения:
Вас заинтересует
3 года назад
3 года назад
9 лет назад
10 лет назад