• Предмет: Алгебра
  • Автор: AnnaMarkeca91
  • Вопрос задан 9 лет назад

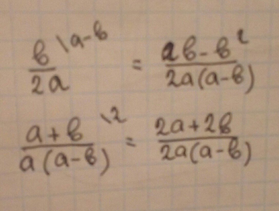
Приведите к общему знаменателю
b2a
a+ba(a-b)

Ответы

Ответ дал: ЯгодкаЯлесная
0
фоточка тебе в помощь ;)
Приложения:
Вас заинтересует