найдите числовые значение выражений
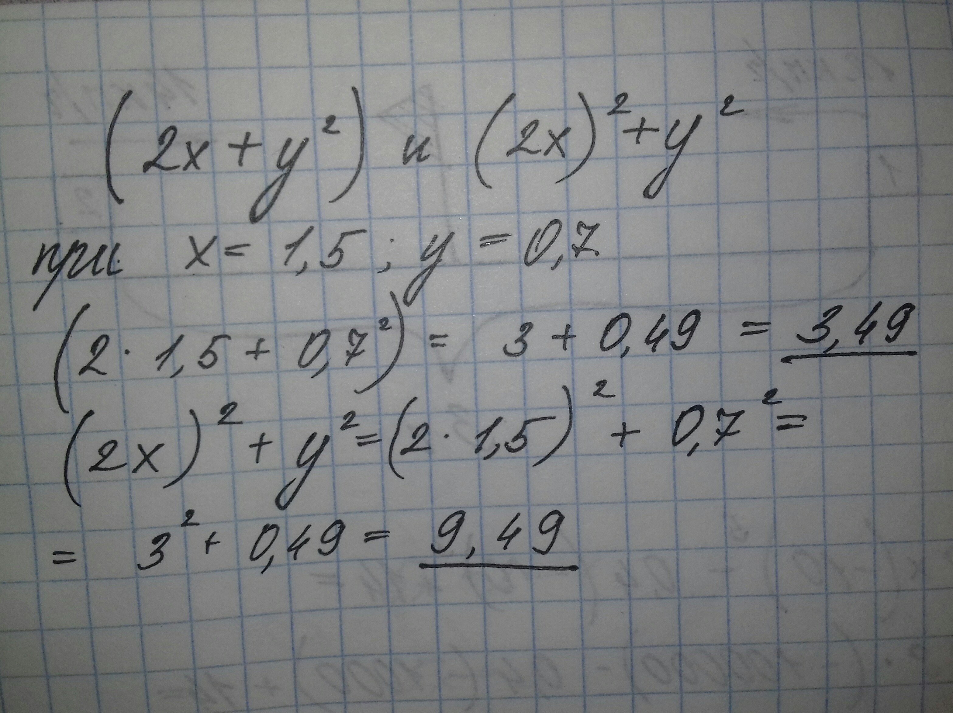
(2x+y в квадрате) и (2x) в квадрате + y в квадрате при x=1,5 y =0,7
Ответы
Ответ дал:
0
2х²+2х²+у²;если х=1.5 , у=0.7, то
2*(1.5)²+2*(1.5)²+0.7²=
=2*2.25+2*2.25+0.49=
=4.5+4.5+0.49=9.49
2*(1.5)²+2*(1.5)²+0.7²=
=2*2.25+2*2.25+0.49=
=4.5+4.5+0.49=9.49
Ответ дал:
0
.......................
Приложения:

Ответ дал:
0
спасибо
Вас заинтересует
2 года назад
3 года назад
3 года назад
9 лет назад
9 лет назад
10 лет назад
10 лет назад