• Предмет: Алгебра
  • Автор: Sadkosi
  • Вопрос задан 9 лет назад

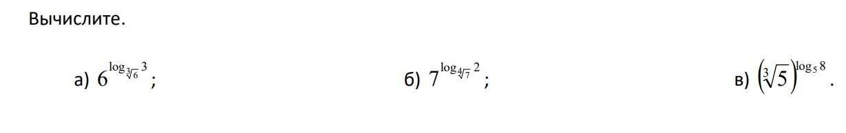
Даю 50 баллов. Вычислите, с решением, логарифмы. Заранее спасибо!

Приложения:

Ответы

Ответ дал: wejde
0
Ответ ответ ответ ответ ответ
Приложения:
Ответ дал: Sadkosi
0
Ты лучшая) Спасибо.
Вас заинтересует