• Предмет: Математика
  • Автор: anfollower
  • Вопрос задан 9 лет назад

√x²-4x=√6-3x решите пожаоуйста,это иррациональное уравнение

Ответы

Ответ дал: Trover
0
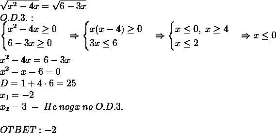
sqrt{x^2-4x}=sqrt{6-3x}\O.D.3.:\begin{cases}x^2-4xgeq0\6-3xgeq0end{cases}Rightarrowbegin{cases}x(x-4)geq0\3xleq6end{cases}Rightarrowbegin{cases}xleq0,;xgeq4\xleq2end{cases}Rightarrow xleq0\\x^2-4x=6-3x\x^2-x-6=0\D=1+4cdot6=25\x_1=-2\x_2=3;-;He;nogx;no;O.D.3.\\OTBET:-2
Приложения:
Ответ дал: oganesbagoyan
0
разве { x ≤ 0 , x ≥ 4 , x ≤ 0 . ⇒ x ≤ 0 (система неравенств) ? ? * * * ⇒ x ∈ ∅ * * *
Ответ дал: oganesbagoyan
0
разве { x ≤ 0 , x ≥ 4 , x ≤ 2 . ⇒ x ≤ 0 (система неравенств) ? ? * * * ⇒ x ∈ ∅
Ответ дал: oganesbagoyan
0
{ x (x -4) ≥ 0 , x ≤ 2 . ⇔ { x (- ∞ ; 0] ∪ [4 ; + ∞) , x ≤ 2 ⇒ x ≤ 0
Вас заинтересует