Ответы
Ответ дал:
0
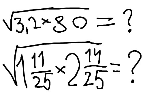
1. =2
2. = 45
Как такое можно не понимать
2. = 45
Как такое можно не понимать
Ответ дал:
0
Во 1: мне нужно решение, а во 2: мы здесь помогаем, а не обсуждаем знания друг друга
Ответ дал:
0
1. 
2.
2.
Ответ дал:
0
переводим из правильной дроби в неправильную
Ответ дал:
0
т.е. знаменатель умножаем на целую часть, затем прибавляем числитель
Ответ дал:
0
25 умножаем на 1 получится 25, потом прибавляем 11, получим 36 в числителе
Ответ дал:
0
Всё, я всё понял, спасибо.
Ответ дал:
0
всегда пожалуйста)
Вас заинтересует
2 года назад
3 года назад
3 года назад
9 лет назад
10 лет назад