• Предмет: Алгебра
  • Автор: GriSSha
  • Вопрос задан 9 лет назад

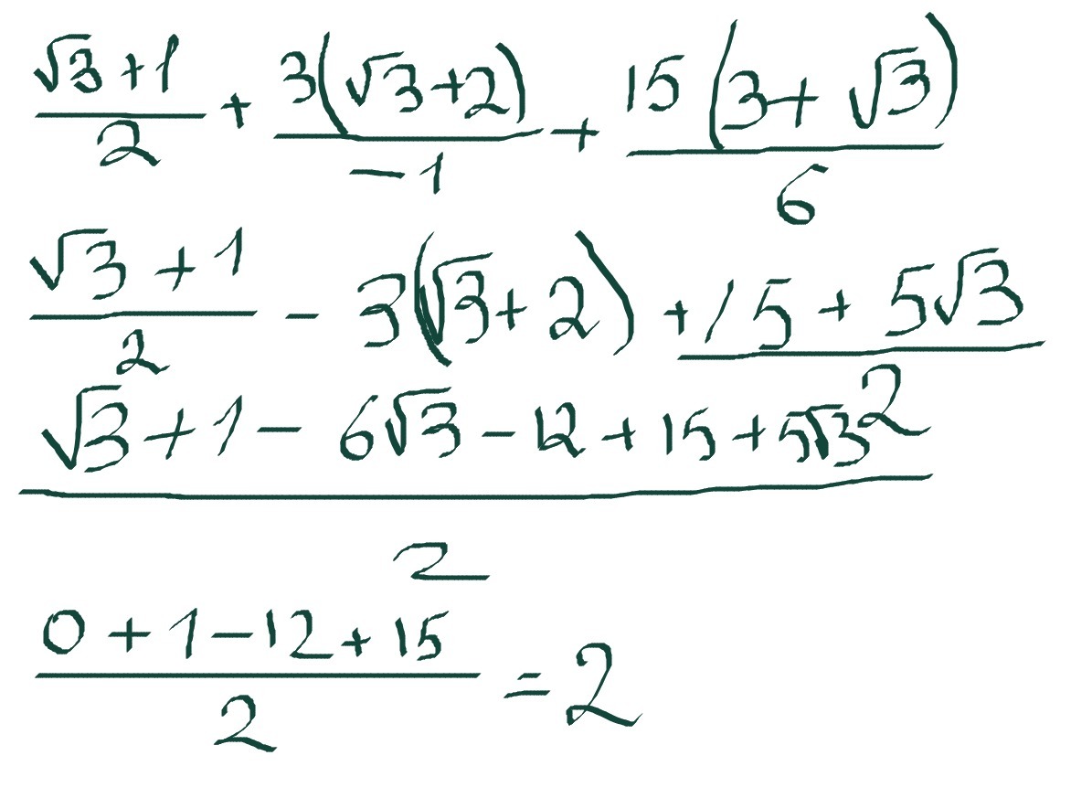
Найти значение выражение

Приложения:

Ответы

Ответ дал: jjklo
0
смотри во вложении решение 

Приложения:
Ответ дал: GriSSha
0
каким образом знаменатель в числитель переносим?
Вас заинтересует