• Предмет: Алгебра
  • Автор: isit98
  • Вопрос задан 9 лет назад

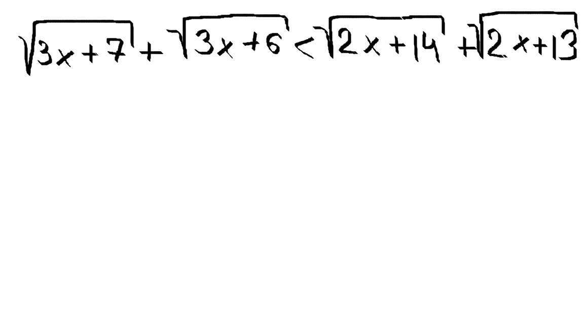
помогите решить неравенство, и как вообще решаются такие неравенства?

Приложения:

Ответы

Ответ дал: m11m
0
!!!!llllllllll!!!!!!!¡!!!!!!!!!
Приложения:
Ответ дал: isit98
0
Большое спасибо
Вас заинтересует