• Предмет: Алгебра
  • Автор: 607
  • Вопрос задан 9 лет назад

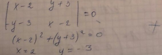
Можете полностью написать решение того как тут получили ответ x и y
Даю свои последние баллы :/

Приложения:

Ответы

Ответ дал: Дейлионна
0
Ответ смотри на фото.
Приложения:
Вас заинтересует