• Предмет: Алгебра
  • Автор: Аноним
  • Вопрос задан 9 лет назад

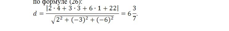
Как они получили 6 3/7
вот само задание нужно пошаговое объяснение

Приложения:

Ответа на этот вопрос пока нет. Попробуйте найти его через форму поиска.

Вас заинтересует