• Предмет: Математика
  • Автор: CherryLedi
  • Вопрос задан 9 лет назад

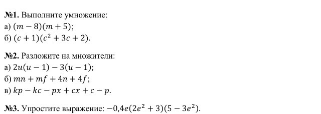
Помогите пожалуйста

Приложения:

Ответы

Ответ дал: n1982
0
................................
Приложения:
Ответ дал: CherryLedi
0
Спасибо большое)
Вас заинтересует