• Предмет: Алгебра
  • Автор: bertain
  • Вопрос задан 9 лет назад

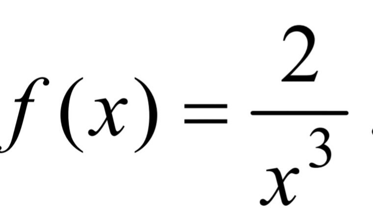
Найти производную (на фото):

Приложения:

Ответа на этот вопрос пока нет. Попробуйте найти его через форму поиска.

Вас заинтересует