• Предмет: Информатика
  • Автор: анюташабалинаанюта
  • Вопрос задан 11 лет назад

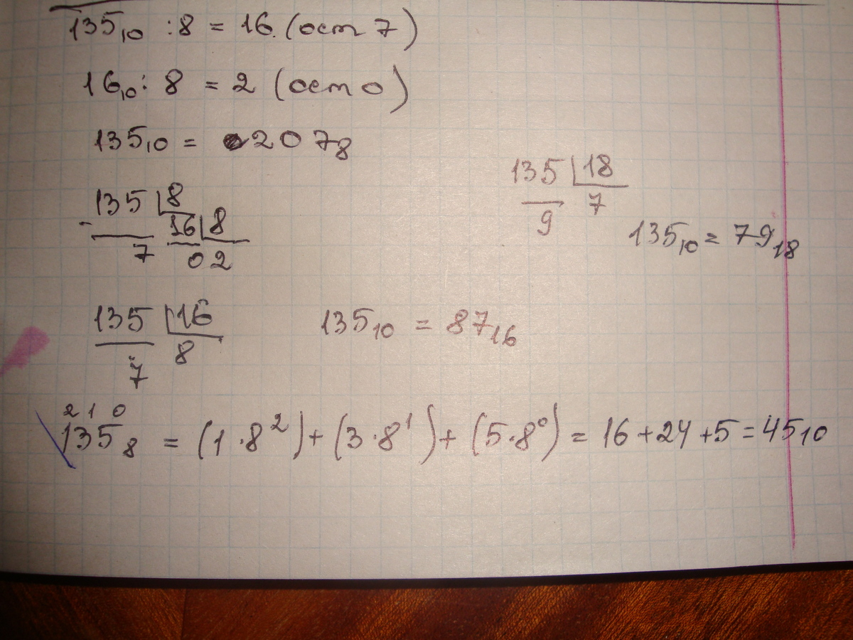
135-10ричных в 18ричные и 16ричные
135-8ичных в 10ричные
помогите пожалуйста все прослушала(ни чо не поняла(

Ответы

Ответ дал: ApplebloomTT
0
135 *8*=1*8(2)+3*8(1)+5*8(0)=64+24+5=93 *10* (В скобках степень)
Ответ дал: Mydrый
0
http://www.kakprosto.ru/kak-14776-kak-perevesti-chislo-iz-desyatichnoy-sistemy
Ответ дал: ApplebloomTT
0
одно и тоже прислал
Ответ дал: Mydrый
0
тут тоже все понятно http://vestikinc.narod.ru/AB/oct_dec_tr.htm
Ответ дал: Mydrый
0
Решениеееееееееееееееееееееееееееееееееееееееееееееееее
Приложения:
Ответ дал: анюташабалинаанюта
0
кто в физике разбирается?
Ответ дал: анюташабалинаанюта
0
http://znanija.com/task/2751887 помогите)
Вас заинтересует