Ответы
Ответ дал:
0
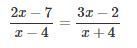
(x-4)(3x-2)=(2x-7)(x+4)
3x^2-2x-12x+8=2x^2+8x-7x-28
3x^2-2x-12x+8-2x^2-8x+7x+28=0
x^2-15x+36=0
a=1;b=-15;c=36
D=b^2-4ac=15^2-4*36=225-144=81(9)
x(1,2)=-b±√D÷2a=15±9:2=12;3
3x^2-2x-12x+8=2x^2+8x-7x-28
3x^2-2x-12x+8-2x^2-8x+7x+28=0
x^2-15x+36=0
a=1;b=-15;c=36
D=b^2-4ac=15^2-4*36=225-144=81(9)
x(1,2)=-b±√D÷2a=15±9:2=12;3
Вас заинтересует
2 года назад
2 года назад
3 года назад
3 года назад
9 лет назад
9 лет назад
10 лет назад