• Предмет: Алгебра
  • Автор: DianaSims
  • Вопрос задан 9 лет назад

Срочно, решите уравнение, пожалуйста!!

Приложения:

Ответы

Ответ дал: ckmrz
0
Ответ под номером 2 правильный

Приложения:
Ответ дал: DianaSims
0
А решение?
Ответ дал: Маша72324
0
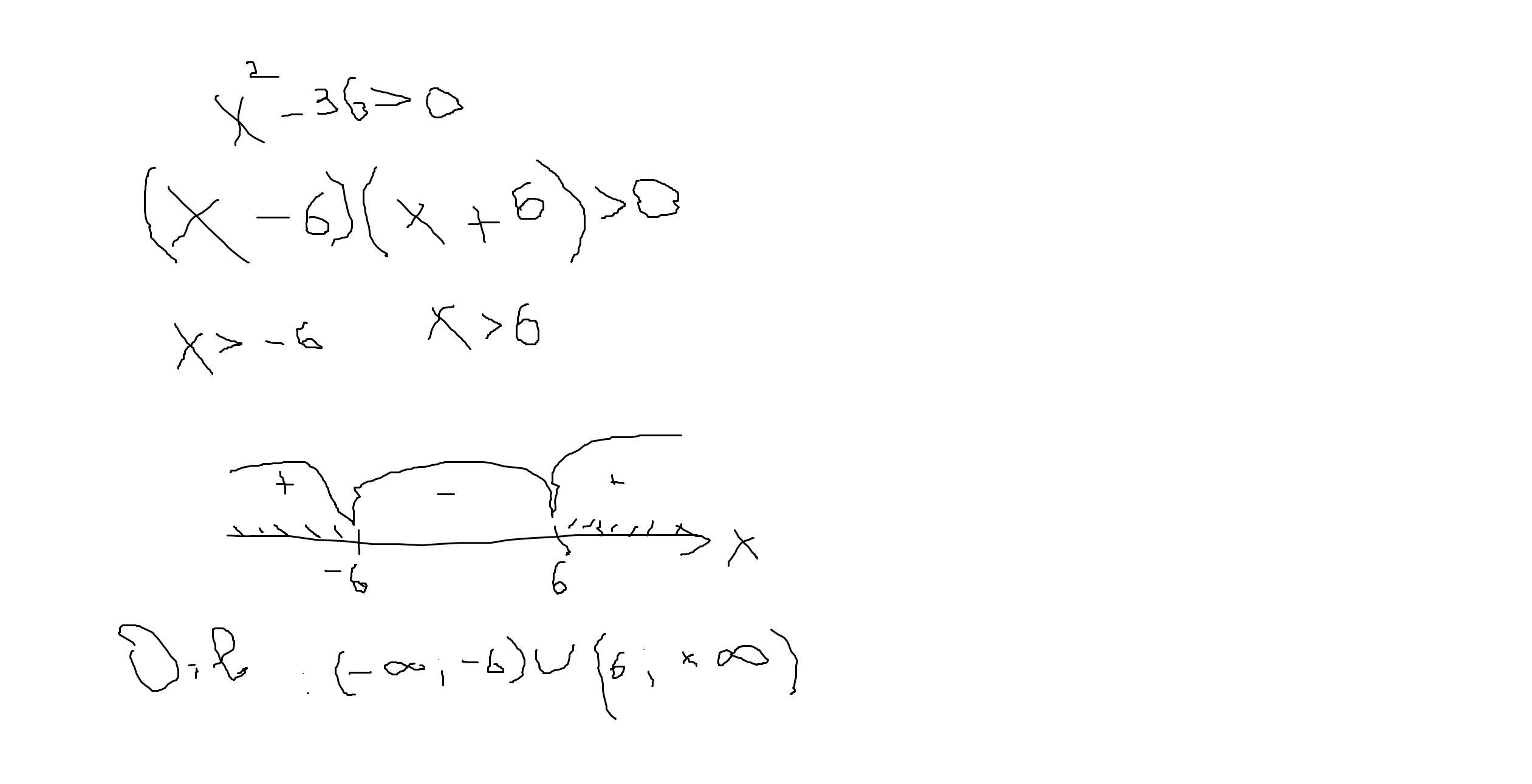
X2-36>0
2)(-нескінченність ;-6)(6;+нескінченність)
Приложения:
Вас заинтересует