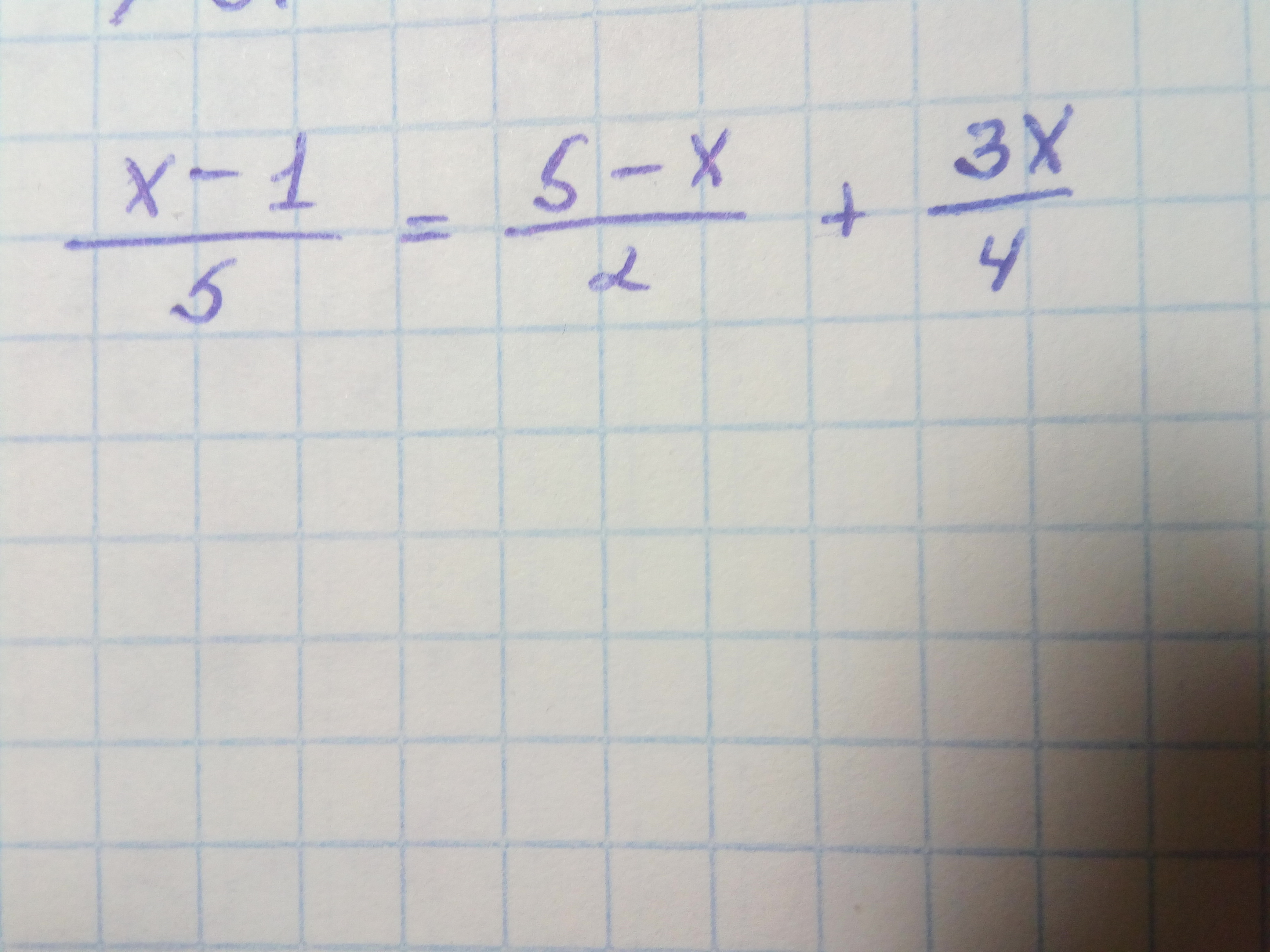
x-1,делённое на 5=5-x,делённое на 2+3x,делённое на 4.Пожалуйста помогите решить уравнение.
Приложения:

Ответы
Ответ дал:
0
Переносим все в левую часть с противоположными знаками:
Приводим к общему знаменателю, для этого первую дробь домножаем на 4, вторую — на 10, а третью на 5:
Делим обе части на 20, чтобы избавиться от знаменателя:
Домножаем на -1:
Ответ:
Ответ дал:
0
-(50-10х)=-50+10х
Ответ дал:
0
а у тебя +
Ответ дал:
0
ой, минус
Ответ дал:
0
Вижу, спасибо.
Ответ дал:
0
не за что)
Вас заинтересует
2 года назад
3 года назад
3 года назад
9 лет назад
9 лет назад
10 лет назад