1.Расстояние между точками A(5; -2) и B(9; x) равно 5. Найдите x.
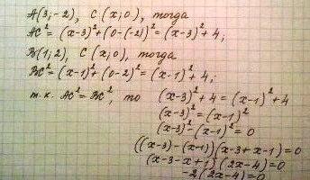
2.На оси абсцисс найдите точку, равноудаленную от точек A(3; -2) и B(1; 2).
Ответы
Ответ дал:
0
Решение во вложенных изображениях
Приложения:




Вас заинтересует
2 года назад
3 года назад
9 лет назад
9 лет назад
10 лет назад