Ответы
Ответ дал:
0
1 - дежурные:
C(24; 2) = 24!/(2!*22!) = 23*24/2 = 23*2 = 276
2 - точки на окружности:
C(6; 3) = 6!/(3!*3!) = 4*5*6/(1*2*3) = 2*5*2 = 20
3 - числа.
A(10; 5) = 10!/5! = 6*7*8*9*10 = 30240 выбрать 5 цифр из 10. Но в это количество входят наборы цифр с первым нулём. Нам они не подходят (пятизначное число не может начинаться с нуля). Таких чисел A(9; 4)
= 9!/5! = 6*7*8*9 = 3024.
Тогда ответ 30240-3024 = 27216
4 - A(10; 5) = 10!/5! = 30240
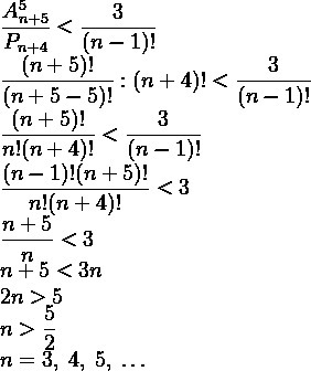
5 - смотри картинку

C(24; 2) = 24!/(2!*22!) = 23*24/2 = 23*2 = 276
2 - точки на окружности:
C(6; 3) = 6!/(3!*3!) = 4*5*6/(1*2*3) = 2*5*2 = 20
3 - числа.
A(10; 5) = 10!/5! = 6*7*8*9*10 = 30240 выбрать 5 цифр из 10. Но в это количество входят наборы цифр с первым нулём. Нам они не подходят (пятизначное число не может начинаться с нуля). Таких чисел A(9; 4)
= 9!/5! = 6*7*8*9 = 3024.
Тогда ответ 30240-3024 = 27216
4 - A(10; 5) = 10!/5! = 30240
5 - смотри картинку
Приложения:

Вас заинтересует
2 года назад
2 года назад
3 года назад
3 года назад
9 лет назад
9 лет назад
10 лет назад
10 лет назад