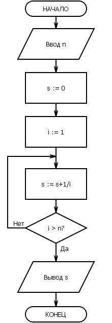
Для данного натурального числа N требуется вычислить сумму 1+1/2+1/3+...+1/N. Постройте блок схемы и напишите на АЯ два варианта алгоритма: с циклом-до и циклом-пока
Ответы
Ответ дал:
0
алг Цикл_до
нач
цел i,n
вещ s
ввод n
s:=0
i:=1
нц
s:=s+1.0/i
i:=i+1
кц_при i>10
вывод s
кон
алг Цикл_пока
нач
цел i,n
вещ s
ввод n
s:=0
i:=1
нц пока i<=n
s:=s+1.0/i
i:=i+1
кц
вывод s
кон
нач
цел i,n
вещ s
ввод n
s:=0
i:=1
нц
s:=s+1.0/i
i:=i+1
кц_при i>10
вывод s
кон
алг Цикл_пока
нач
цел i,n
вещ s
ввод n
s:=0
i:=1
нц пока i<=n
s:=s+1.0/i
i:=i+1
кц
вывод s
кон
Приложения:
Ответ дал:
0
Внимание, 4 вложения, если доступно не все, смотрите через браузер
Вас заинтересует
2 года назад
2 года назад
3 года назад
3 года назад
9 лет назад
10 лет назад
10 лет назад